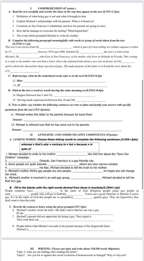
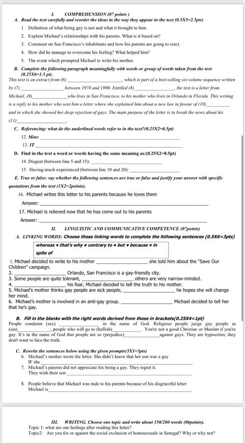
La réaction du SG du SELS/A ne s'est pas fait attendre, suite à la découverte des sujets d’anglais du bac blanc proposés aux candidats de Rufisque. La dernière partie du texte dit tout : “Je sais que je ne peux pas vous dire ce que c'est d'être gay. Mais je peux vous dire ce que ce n'est pas. Il ne se cache pas derrière des mots, maman comme la famille, la décence et le christianisme… » Un texte que dénonce le syndicaliste Abdou Faty. « Nous dénonçons ce sujet avec la plus grande énergie. On a l’impression que certaines personnes veulent faire la promotion de l’homosexualité à l’école. C’est inadmissible… »
Ainsi, selon lui, la vigilance est de mise pour barrer la route à ce projet funeste. Le personnel éducatif est obligé de monter au front, selon M.Faty. « Nous demandons en amont de refuser dorénavant de traiter tout sujet qui fait la promotion de l’homosexualité car c’est à contre-courant de nos valeurs, de nos croyances, de nos religions. L’IA de Rufisque est responsable, le MEN est responsable. Il faut que les parents soient au courant. Nous n’accepterons pas que l’école soit le réceptacle de l’homosexualité. Les fonctions de l’école et les finalités de l’école sont tout sauf la promotion des LGBT... », a-t-il ajouté.
Au moment où ces mots sont écrits, c’est l’émoi chez les populations. Interpellé sur la question, l’Inspecteur de l’Académie Mamadou Diop de Rufisque attend d'entrer en possession de toutes les informations pour se prononcer sur la question.
Nous y reviendrons...
Ainsi, selon lui, la vigilance est de mise pour barrer la route à ce projet funeste. Le personnel éducatif est obligé de monter au front, selon M.Faty. « Nous demandons en amont de refuser dorénavant de traiter tout sujet qui fait la promotion de l’homosexualité car c’est à contre-courant de nos valeurs, de nos croyances, de nos religions. L’IA de Rufisque est responsable, le MEN est responsable. Il faut que les parents soient au courant. Nous n’accepterons pas que l’école soit le réceptacle de l’homosexualité. Les fonctions de l’école et les finalités de l’école sont tout sauf la promotion des LGBT... », a-t-il ajouté.
Au moment où ces mots sont écrits, c’est l’émoi chez les populations. Interpellé sur la question, l’Inspecteur de l’Académie Mamadou Diop de Rufisque attend d'entrer en possession de toutes les informations pour se prononcer sur la question.
Nous y reviendrons...
Autres articles
-
Célébration du 04 avril à Mbeuleukhé : "Il faudra qu'on s'unisse pour faire avancer ce pays" (Aliou Dia, Maire)
-
Yang-Yang-Fête du 4 avril : une célébration festive et fortement mobilisatrice à Mbeuleukhé
-
MBACKE - Décès de Cheikh Bara Guèye, maire de Darou Nahim et ancienne tête de liste de Benno Bokk Yaakar
-
Fête Indépendance 2026 : Saint Louis dans la ferveur du défilé du 4 avril, le colonel Samassa et ses hommes assurent...
-
Retour apres le defilé: Trafic perturbé à la sortie de Thiès après un accident dans l’autre sens


