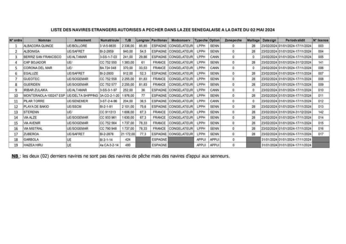
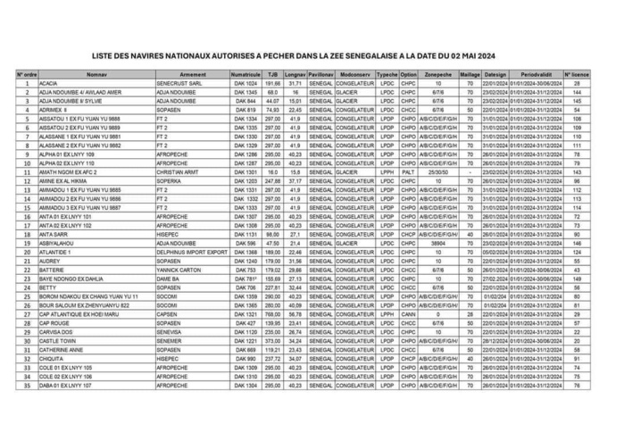
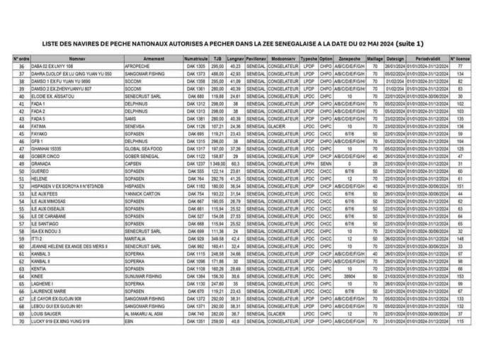
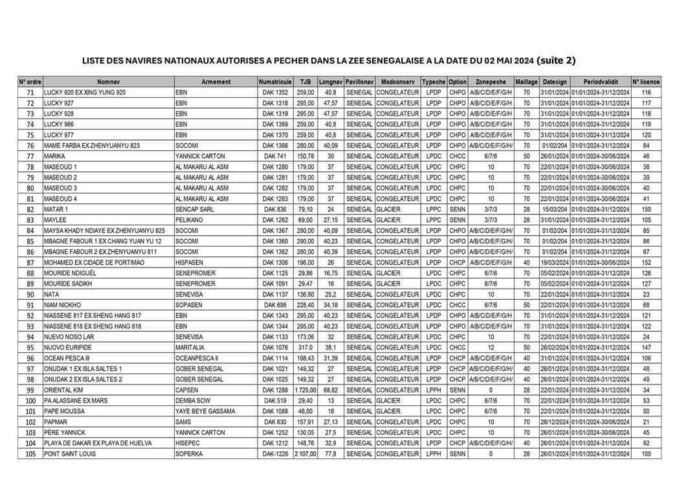
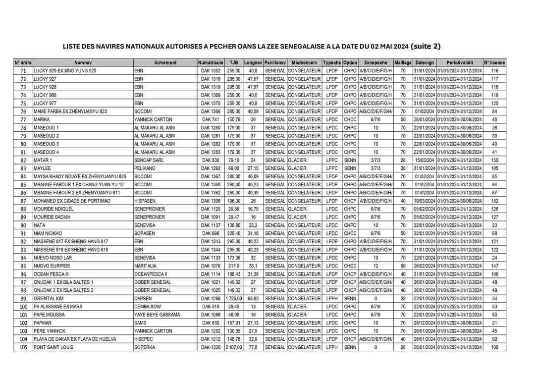
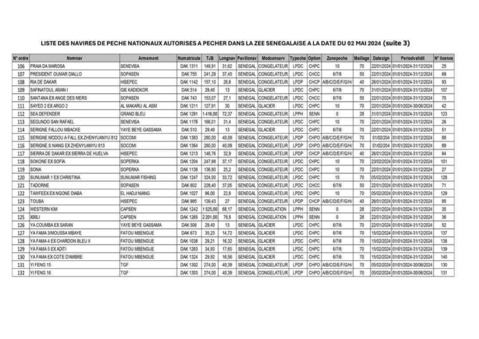
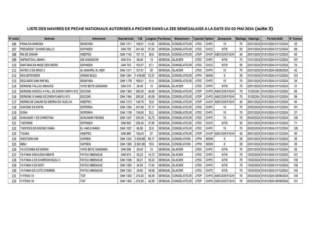
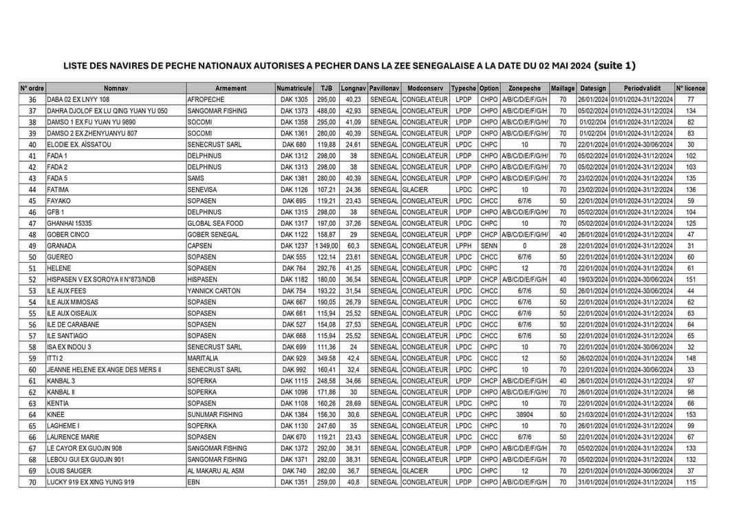
Dans un communiqué rendu public, le ministère des pêches et des infrastructures maritimes et portuaires informe de la publication de la liste des navires autorisés à pêcher aux larges des côtes sénégalaises. Il s’agit de 132 navires sénégalais et 19 bateaux étrangers qui ont obtenu les permis d’effectuer leurs activités maritimes dans les sénégalaises à compter du 02 mai 2024.
Cette mesure qui répond au principe de transparence dans la gestion des ressources naturelles qui constituent un patrimoine national, prend effet à cette date du 06 mai 2024. Le ministère précise cependant, que cette liste ne tient pas compte des dossiers qui sont en cours de renouvellement.
Ci-après les documents rendus public par le ministère .
Cette mesure qui répond au principe de transparence dans la gestion des ressources naturelles qui constituent un patrimoine national, prend effet à cette date du 06 mai 2024. Le ministère précise cependant, que cette liste ne tient pas compte des dossiers qui sont en cours de renouvellement.
Ci-après les documents rendus public par le ministère .
Autres articles
-
Tabaski 2026 : à Ouest-Foire, les éleveurs entre flambée des coûts et pénurie de moutons
-
Thiès- vol à l'arraché: un jeune mortellement tabassé par une foule à Hersent
-
Assemblée nationale : La Section de recherches tente d’arrêter le député Cheikh Bara Ndiaye à l’issue de l’installation de Ousmane Sonko
-
Ousmane Sonko après son élection : « Je n’utiliserai pas cette assemblée pour nourrir des vendettas personnelles »
-
Sonko tire sur l’exécutif : « On ne peut pas faire du Pastef sans le Pastef »










